投稿作者 Antony
烷基糖苷简介
烷基糖苷,Alkyl Polyglucoside(简称APG)。它是由葡萄糖的半缩醛羟基和脂肪醇羟基在催化作用下脱水而成。烷基糖苷(APG)是新型高效、无毒、可生物降解的非离子表面活性剂,表面活性好,其生产所需原料是可再生的自然资源衍生而来的葡萄糖和脂肪醇,复配后可形成目前性能最好的表面活性剂,APG 具有十分优异的性能,起泡力强、泡沫稳定、润湿性好、配伍性能极好,对人体刺激性小,毒性极低,能迅速生物降解,是目前世界上唯一可被称为无毒级的品种,因此,APG 以其超群的性能被誉为“世界级”表面活性剂。
烷基糖苷可应用于日化行业、纺织行业、农药行业、食品行业、采油业等。
1、烷基糖苷的结构与性能
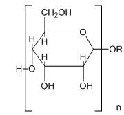
烷基糖苷的分子可用通式RO(G)n来表示。其中G 表示C3—C6 的糖苷单元;R 表示C8—C18 的饱和直链烷基;n 表示糖单元个数,n=1 时称为烷基单糖苷,n>2 时统称为烷基多糖苷或烷基多苷。烷基糖苷的结构式如下:
烷基糖苷是单苷与多苷的总称,一般情况下,即使单糖与脂肪醇反应的产物也往往是既含单苷又含多苷的混合物,习惯上把这种混合物也称为烷基多苷,仍以APG 表示。烷基糖苷常有α 和β 两种异构体。
烷基糖苷(APG)系列表面活性剂不同于传统的表面活性剂。首先,它来源于天然的原料,不含有环氧乙烷或其它化学溶剂; 其次,它的分子结构中亲水和亲油部分是以特别稳定的糖苷醚链(-C-O-C-)连接的,在强酸或强碱的环境下都很稳定,不会发生水解反应;第三,烷基糖苷(APG)系列乳化剂在配方中有极强的促进层状液晶形成的能力,因此可以提高乳液的保湿效果,对功能性产品更有很好的缓释效果; 第四,烷基糖苷(APG)系列乳化剂有良好的相容性,与植物油、矿物油、硅油、防晒剂、粉体、颜料及各种活性成分( AHA、植物提取液等)都有很好的配伍性。
2、制备方法
烷基糖苷的制备方法有Fischer法、Koenigs-Knorr法、四氯化锡法、淀粉降解法、酶催化法、直接糖苷法(一步法)和转糖苷法(两步法)。其中工业化的生产方法以直接糖苷法和转糖苷法的研究报道居多。报道目前国内工业化的生产方法主要为转糖苷法,只有上海发凯等少数几家公司采用的一步法生产工艺。
(1)转糖苷化法
二步法是采用在硫酸、对甲苯磺酸或磺基琥珀酸等酸性催化剂作用下,预先将糖类与低碳醇(如甲醇、丁醇、二甘醇)进行反应生成低碳烷基糖苷以后,再与高碳醇反应,得到高碳醇烷基糖苷。
A、丁苷化反应
B、缩醛交换反应
一步法是采用碳原子数为8~18 的脂肪醇,在一定温度和有催化剂条件下与葡萄糖直接反应生产烷基糖苷。除了常用的催化剂如硫酸、对甲苯磺酸外,具有乳化性能的酸性催化剂如十二烷基苯磺酸、十二烷基磺酸及烷基萘磺酸更有助于糖苷化反应,减少聚糖的生成。一步法就是葡萄糖直接和十二醇反应而制得APG,工艺简单,适合大规模工业生产,产品质量好,成本低,无三废污染。主要技术指标:活性物48-52%,残醇≤1%。
淀粉降解法是利用淀粉在酸催化作用下与低级醇进行糖基转移反应,生成低碳链烷基糖苷,再与高碳醇进行糖基转移反应制备高碳链淀粉基烷基糖苷,即采用糖苷化反应合成,此种方法也属于转糖苷法,而利用淀粉和高碳醇一步生产烷基糖苷的研究较少。
(4)酶法
应用酶法合成精细化学品是在化学领域的重要突破。大多数酶催化合成烷基糖苷主要是用糖苷酶。酶催化糖苷合成也有两种模式:(1)酶催化糖苷逆水解反应,是单糖与醇的缩合反应,其中水是离去基团;(2)酶催化羰基转移反应,离去基团通常是单糖基,其中水作为竞争性亲核试剂会导致反应物部分水解。可避免加入各种保护剂,通过合成控制转糖苷化反应的进程或增加反应混合物中某一物质的浓度便可大量获得所要的产物。
安徽理工大学采用葡萄糖与辛醇为原料,利用大麦芽中的酶催化合成APG。得到最佳工艺条件:50℃下,反应时间36h,醇用量为10mL,加水量为4mL、大麦芽的加入量为3g。葡萄糖的转化率为33.8%。Kawahara 等用固定化杏仁β- 葡萄糖苷酶以葡萄糖和苯甲醇为底物,合成苯甲基-β- D- 葡萄糖苷,反应温度50℃,酶1.0g(3.4U/mg),反应时间4 天,加水2mL,葡萄糖1.1g,产率达53%。Turner 等将己醇和辛醇作为受体,利用耐热性β- 糖苷酶进行转糖基反应,有效催化合成了烷基糖苷,当水/ 己醇体积比为4∶25 时,产量较高。
(5)各种方法比较
B、酶催化成为当前的研究热点,极有希望实现工业化生产,为未来烷基糖苷的生产指明了方向。
3、国内外市场
2007年,以中国日化所完成的“八五”“九五”科技攻关项目成果及发明专利(ZL200410064505.0) 为基础,上海发凯有限公司于2007年完成了5000t/a APG产品的工程化建设和产业化生产,是目前国内最大的一步法APG生产装置。截至2011 年12月19日,中国日用化学工业研究院上海发凯化工公司,采用其自主知识产权技术的APG 万吨级工业化装置,已稳定运行84天,累计实现销售收入4 000余万元。这标志着我国糖基绿色表面活性剂烷基糖苷(APG) 产业化取得重大突破。
国内许多知名公司已逐步采用上海发凯化工有限公司的APG产品来替代进口产品,如浙江“纳爱斯”、浙江“传化花王”、广东“拉芳”和“联合利华”等。
国内APG的生产能力:1998年约为5000t/a,2007年约为1.5万t/a,2009年约为3万t/a。目前,国内APG需求量约在10万多t。
目前德国的汉高(Henkel)公司是世界上产量最大、品种最多的APG生产制造商。拥有美国的辛辛那提、德国的杜塞尔多夫和上海的金山三个APG生产基地,生产能力达到6.2万t/a。
据统计2000年西欧洗涤剂、漂洗剂和清洗剂工业需求烷基多苷8万t ~10 万t。2005年消耗量约为10~15万t。随着全球表面活性剂等消费需求的持续增长, APG的需求也将随之增长。
参考文献
[1]史晓宇.大众科技.2013,15(7):94-96. [2]卞丽华.酶催化法烷基糖苷的合成与性能研究[D].安徽理工大学.2012-06. [3]Eij I K. et al. Chemical and Pharmaceutical Bulletin. 2005,53(8):1058-1061. [4]Pernilla T, et al.Biotechnology. 2007,130 (1):67-74. [5].生许磊,毕彩丰. 生物科技与现代农业.2012(6):100-101.
本文版权属于 Chem-Station化学空间, 欢迎点击按钮分享,未经许可,谢绝转载!









































No comments yet.