本文来自Chem-Station日文版 使っては・合成してはイケナイ化合物 |第3回「有機合成実験テクニック」(リケラボコラボレーション) 作者 webmaster
翻译投稿 炸鸡 校对 Sum
这次和理学系实验室网站的合作,我们会陆续推出十篇的“有机合成实验技巧”特集。
第3篇我们将介绍“有机实验中遇到的危险化合物”。化学实验总伴随一定的危险性。我希望大家都能认识到这种危险性并接受相关的安全培训。
我也希望能够通过安全培训讲述的各种安全事故让同学们警觉。曾经有位著名化学家因为没戴护目镜而导致一只眼睛失明,还有一位虽然带了手套但是接触了二甲基汞以后仍然造成了死亡,还有一位因为试剂的使用及实验的服装不规范,导致最后全身发炎而死。实验室里经常举一些有关使用叠氮化物、过氧酸、氧化剂以及高氯酸盐等的例子来提醒学生注意安全,并且效果显著。
另一方面,只要是在理论上能合成的分子都能通过化学反应合成。如果是构造简单的分子,即使买不到现成的,也可以在实验室轻松地合成。看来简洁省事但实际上却有很大问题!并且这样的化合物很多。今天我就来介绍几个看起来合成很简单实际却很危险的化合物。
苯乙酸、苯丙酮
这两种化合物并不会影响身体健康。类似苯乙酸氯和苯乙酸乙酯等试剂也是市面上可以公开买到的,属于没有什么特别大问题的化合物。虽然苯乙酸类的化合物还好,但苯丙酮则基本上在市面上买不到。
你可能会想,为什么这个不行呢?因为如果大量合成的话会被警察逮捕。它们是合成有中枢神经兴奋作用的甲基苯丙胺和苯丙胺的原料。
如果把他们作为反应的原料,可以考虑在羰基的α位导入亲电基团,比如最近比较火的脱羧反应的苯基自由基中间体等。请一定注意他们是禁止被大量合成的。
PAH
多环芳烃(Polycyclic Aromatic Hydrocarbons:PAHs)是指有两个以上苯环稠和的化合物。萘和蒽也属于PAH大家族,但PAH家族里更多的还是含苯环稍微多一点的化合物。由于苯环的数量不同而呈现出不同的荧光,所以也可以作为诱导荧光材料。
从最近流行的碳材料,比如芘和二萘嵌苯,我们可以在分子层面上获得分子纳米碳的最小骨架,因此最近我们可以看到大量有关合成更大结构单元的PAH类化合物或合成有类似骨架结构的报道。
这合成本身没有问题,问题在于其中的部分化合物。
问题就出在苯并[α]芘,䓛和苯并[α]蒽之类的PAH化合物。
特别是苯并[α]芘,它的危险性众所周知。苯并[α]芘经氧化后生成如下图所示的苯并芘环氧化合物,像DNA样的亲核试剂能进攻苯并芘环氧化合物(亲电试剂)。所以,苯并[α]芘能使DNA发生突变,提高癌症发病率。
你可能乍一看,觉得是PAH而顺手就用了,但绝对不要用。
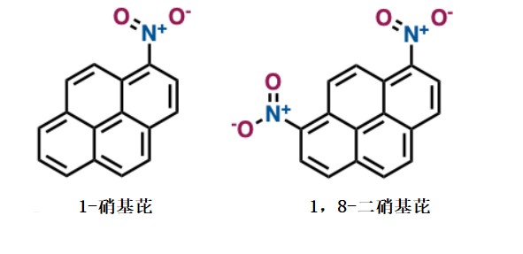
硝基芘
大多PAH类化合物如果算是安全的(除去上面提到的几例并不安全),而对于带有硝基的芘这样的化合物就更具有危险性了。它是一种强致癌性的化合物。芘如果被硝基化,就变成了一种完全不同的化合物。。。这种情况在有机合成领域十分常见。请当心。
双酚A
这就是臭名昭著、远近“闻名”的双酚A。乍一看认为只是“普通的化合物”,但双酚A很容易引起粉尘爆炸,进入体内还会引起内分泌紊乱。
经常听到“在实验室里不要合成这玩意。”但双酚A到底是怎么合成的呢?答案:用2分子的苯酚,丙酮,加上酸催化。
“用酸和丙酮把残留有大量苯酚的玻璃器具洗一下吧”
悲剧往往发生在这种情况下。女生要特别注意。
萘胺和甲苯胺
萘胺和甲苯胺都是很危险的致癌性物质。但是,准确一点说其实是β-萘胺(2-萘胺)和邻甲苯胺。不同点在于胺基(-NH2)位置的不同。比如,异丙嗪就不存在化合物性质随着胺基的位置改变而改变。关于为什么很危险,请看以前的文章(邻甲苯胺与致癌的关系)。
在实际的有机合成中,经常会把苯胺结构稍做修改来代替苯胺衍生物(在很多论文里也可以看到这样的做法)。读者们可以留心下。这也让我想起一位平时很温和的教授因为他的博士研究员直接使用苯胺而大发脾气。
总结
事实上我们在试验前并不能确切的知道哪些化合物有危险。所以大家做实验的千万不要忘了防护三件套:手套,护目镜,白大褂。
本文版权属于 Chem-Station化学空间, 欢迎点击按钮分享,未经许可,谢绝转载!






No comments yet.