本文作者 孙苏赟
接上篇
一、配合金属使用的催化剂
- 烷氧基锌化合物
烷氧基锌化合物可以在反应中同时作为Lewis酸和Brosted碱:ref 1
反应首先需要活化催化剂,之后通过面选择的反应得到立体转移的产物:
- Lewis酸活化的酰胺
这个反应产生的是和Evans研究的体系相反的anti-产物,反应过程中会产生烯醇硅酯中间体而影响反应的选择性。
但是还有一个类似的反应:ref 4
一个在全合成中的应用:ref 5
2) ref 6
二、有机催化剂
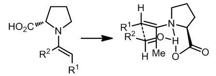
- 酮和醛的反应 ref 7, 8
可能的循环催化的过程:
对于α-取代的酮来说,反应中更加倾向于形成E-烯胺,因为这样可以避免过大的重叠效应:
- 醛烯醇和醛的反应
1) ref 9
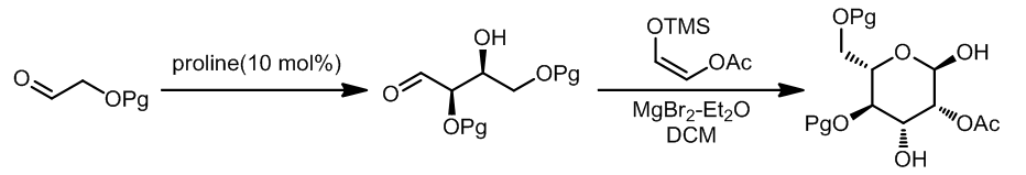
一个在全合成中的应用:SCIENCE 2004 305 1753
2) ref 10
此外除了上文提及到的含氮催化剂,还有一下催化剂可以高效的催化反应:ref.2, 11, 12
参考文献
- J. Am. Chem. Soc., 2000, 12003,DOI: 10.1021/ja003033n
- J.Am. Chem. Soc., 2005, 127, 9285-9289 DOI: 10.1021/ja0510156
- J. Am. Chem. Soc., 2003, 2169, DOI: 10.1021/ja028926p
- Org. Lett., 2002,4(7), pp 1127–1130, DOI: 10.1021/ol025553o
- J. Am. Chem. Soc., 2003,125(20), pp 6042–6043, DOI: 10.1021/ja0349103
- J. Am. Chem. Soc.,2003, 8706,DOI: 10.1021/ja035509j
- J. Am. Chem. Soc., 2000,122(30), pp 7386–7387, DOI: 10.1021/ja001460v
- J. Am. Chem. Soc., 2001,123(22), pp 5260–5267, DOI: 10.1021/ja010037z
- J. Am. Chem. Soc., 2002,124(24), pp 6798–6799, DOI: 10.1021/ja0262378
- Angew. Chem. Int. Ed.,2004, 43, 2420,DOI:10.1002/anie.200353546
- Acc. Chem. Res.2004, 37, 570-579DOI: 10.1021/ar030064p
- Angew. Chem. Int. Ed.,2008, 2082,DOI:10.1002/anie.200704870
本文版权属于Chem-Station化学空间,欢迎点击按钮分享,未经许可,谢绝转载!



No comments yet.