桧木醇是柏科树木中含有的一种抗菌物质。除作为香料使用外,近些年被认为可有效抑制黑色素(melanin)的生成,对肌肤具有美白作用。[5]。
详细内容
红桧与扁柏合称桧木。1936年二战前原台北帝国大学(现国立台湾大学)的野副鉄男教授从台湾扁柏中发现、命名为Hinokitiol并推定出其结构构造[1]。出生于日本宫城县仙台的野副鉄男教授于战后1948年起任教于日本东北大学。他在桧木醇结构推定的确定、桧木醇类似物的合成、非苯环类芳香族化合物的化学研究中具有重大贡献,世人对此给予很高评价。
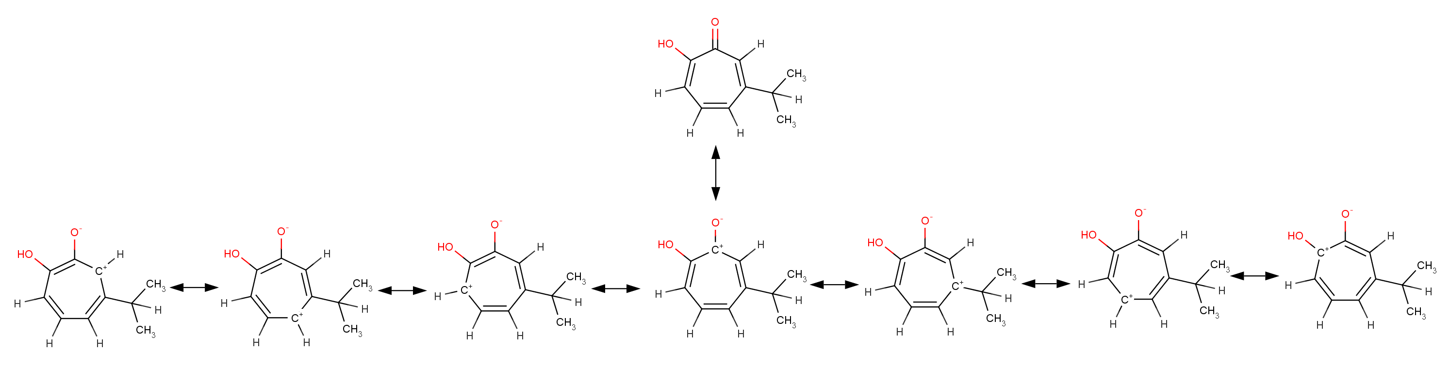
桧木醇具有8个处于离域(delocalization)状态的共振结构式的电子,拥有芳香性。(点击上方png文件可看大图)
与从扁柏中分离出的桧木醇研究虽没有联系,但从同为柏科植物的北美乔柏(Thuja plicata D. Don)中发现了具有同样结构的苧侧素(thujaplicin),这是一种具有抗菌活性的天然有机化合物。这一发现发表在1948年的自然杂志上[2]。现在,桧木醇和苧侧素两种写法均存在。
通常来讲,柏科的针叶树中均含有桧木醇。不过,种不同其含量值也会不同。就日本扁柏本身来说,桧木醇含量极少。[3]。
桧木醇具有易与金属原子结合的性质。在需要金属原子作为辅因子几种酶中,抑制活性已被证实。例如花生四烯酸12-脂〔肪〕氧化酶(arachidonate 12-lipoxygenase)[4]、酪氨酸酶(tyrosinase)等[5]。
豆知识
本文中的台湾扁柏,日本扁柏是不是把你都绕糊涂了。植物学里有一门很重要的学科叫做植物分类学。作为有机专业出身的小编虽然并没有系统学习过,但是随着查阅资料,总结了本文中提到的Hinoki相关分类知识,一起学习一下吧。
裸子植物门 Gymnospermae
柏科 Cupressaceae
柏木亚科 Cupressoideae
扁柏属 Chamaecyparis
种:日本扁柏(Chamaecyparis obtusa)白柏(青岛)……
变种:台湾扁柏(Chamaecyparis obtusa var. formosana)……
也就是说1936年野副鉄男先生是从台湾扁柏中分离出了桧木醇,命名为Hinokitiol也是因为该植物科属种在日语中称为Hinoki,而ol是醇类物质的后缀。现在,你记住桧木醇的结构以及英文名了吗?顺便提一句,桧木是此科下木材的统称。它是一种高级木材,也具有很强的观赏性以及药用价值。
- 分子模型
参考文献
[1] Tetsuo NozoeBulletin of the Chemical Society of Japan1936
[2] “Antibiotic substances from the heart wood of Thuja plicata” Erdtman H et al. Nature 1948DOI: 10.1038/161719a0[3] “Hinokitiol (beta-Thujaplicin) from the Essential Oil of Hinoki Chamaecyparis obtusa.” Kunihide Fujimori et al. J. Essent. Oil Res. 1998DOI: 10.1080/10412905.1998.9701018[4] “Hinokitiol, a Selective Inhibitor of the Platelet-Type Isozyme of Arachidonate 12-Lipoxygenase.” Hiroshi Suzuki et al. Biochem. Biophys. Res. Commun. 2000DOI: 10.1006/bbrc.2000.3390[5] “Structural insights into the hot spot amino acid residues of mushroom tyrosinase for the bindings of thujaplicins.” Satoshi Takahashi et al. Biomol. Med. Chem. 2010DOI: 10.1016/j.bmc.2010.08.056本文版权属于Chem-Station化学空间, 欢迎点击按钮分享,未经许可,谢绝转载!


