引言
中国拥有灿烂悠久的饮食文化,经过长期演变而自成体系,具有鲜明的地方特色,其中以“鲁、川、粤、苏、闽、浙、湘、徽”为代表的“八大菜系”是中国最为人熟知的菜肴流派。川菜起源于川渝地区,以麻辣鲜香为特色,常用的调味料有“三椒”:花椒、胡椒和辣椒。由于当地常年气候湿润,川渝地区的人民对辛辣食物尤其是辣椒有种难以割舍的爱。
独具特色的重庆麻辣火锅
辣椒的活性成分
辣椒是生活中常用的调味品,各种辣椒因品种差异、成熟程度、气候条件和土壤性质等不同,在口感上也有很大差别。辣椒素(capsaicin)是辣椒中的活性成分,也是辣味的来源,它学名是反式-8-甲基-N-香草基-6-壬烯酰胺,最初可能是辣椒为阻止草食动物的啃食或真菌寄生而产生的次级代谢产物。1876年,人们首次分离出较高纯度的辣椒素并在1919年确定了其化学成分,1930年E. Spath和S. F. Darling等人完成了辣椒素的人工合成。
辣椒素的化学结构
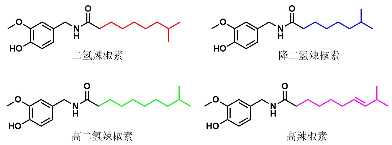
进一步研究发现,辣椒素还具有多种介于C9-C11支链的类似物,这些化合物被命名为“capsaicinoids”,即辣椒素类物质。辣椒素类似物的主要差异体现在脂肪链长度、是否存在双键和支链以及相对辣度。目前,已经有数十种以上的辣椒素类似物被发现,其中辣椒素和二氢辣椒素(Dihydrocapsaicin,DHC)两者约占辣椒素总量的90%,也提供了绝大部分的辣感和灼烧感,其余同系物仅占少量,辣度上也更弱。
含量较高的几种辣椒素类物质
辣味从何而来
生活中最常见的味觉是“酸甜苦辣咸”,辣椒能够在口腔或皮肤表面产生刺激性的灼烧感,这就是所谓的“辣味”。前文提到,辣椒素可能是植物的某种自我保护机制,但有趣的是鸟类却对辣椒素不敏感,还可以帮助其传播种子,然而包括人在内的哺乳动物却对辣味敏感。辣椒素引发的灼烧和疼痛感源于它和感官神经元的化学作用:口腔和皮肤细胞表面存在一种TRPV1离子通道,本质属于膜蛋白,它被热、质子、物理磨损刺激时将允许阳离子穿过细胞膜,当辣椒素分子与TRPV1受体结合后,阳离子穿过细胞膜产生动作电位,仿佛是膜蛋白受到了上述刺激,因而产生类似过热或物理磨损的感觉,这就是辣味的来源。需要指出的是,辣椒素实际上不引起类似于触碰到酸或碱而产生的化学烧(灼)伤,并未产生任何直接的组织损伤。
TRPV1离子通道同源蛋白四聚体的结构模型
辣椒素的生物合成
辣椒不同部位中的辣椒素含量差别较大,一般而言,辣椒素大量存在于辣椒属植物果实的胎座组织和内膜中,果实的肉质部分也有少量分布。同位素示踪技术表明,辣椒素的生物合成经由香草胺(vanillamine)和脂肪支链两部分。具体说来,香草胺以L-苯丙氨酸为起始原料,在多种生物酶的作用下经历脱氨化、羟化、酯化等步骤合成,此外利用L-缬氨酸为起始原料,经多次增长碳链的过程可以最终得到脂肪侧链,最后在辣椒素合成酶(capsaicin synthase)作用下,两个片段经酰胺化即可“拼接”得到最终的辣椒素。
辣椒素的生物合成路径
辣椒素的应用
天然辣椒素是一种低毒害、无污染并且具有多种生物学功能的化合物,在日常生活中具有广泛应用。首先是用于调味品,辣椒粉、辣椒酱、咖喱以及火锅底料中都含有辣椒素,极大改善了菜肴的口感和风味;利用辣椒素的刺激性作用,人们还可以将其添加入喷雾剂中用于紧急之时防身。此外,近年来人们发现辣椒素具有良好的镇痛和抗炎功效,它的镇痛作用可能是由于辣椒素通过激活神经机制来阻断疼痛信号。目前已经有辣椒素制成的霜剂用于表面涂抹治疗皮肤疼痛、瘙痒,疗效可观。然而需要指出的是,辣椒素在生物医药领域的应用目前尚处在起始阶段,未来仍有相当大的发展空间。
含有辣椒素的商品
结束语
我国是辣椒生产和消费大国,湖南、四川、贵州、陕西、河南、江西、山东、新疆、内蒙古等省都有着十分广泛的农产品资源优势。尽管国内关于辣椒素的研究在不断深入,但与国外相比,我们还欠缺研究的广度与深度,尤其是辣椒素的代谢与调节机制仍需要进一步探究。此外,未来还需要有研究聚焦于适宜辣椒积累辣椒素的栽培条件,或是利用基因工程等生物技术提高辣椒素在细胞培养或果实中的含量,为各行业提供更广更高价值的辣椒素来源。
参考资料
- [1] 郭峰. 辣椒素的作用机制及其镇痛应用[J]. 第二军医大学学报, 2002(01), 96-98.
- [2] 成善汉, 吴艳阁, 贺申魁. 辣椒素生物合成路径及调控基因研究的最新进展[J]. 分子植物育种, 2008(02), 335-340.
- [3] 董新荣, 刘仲华, 杨建奎, 李霞. 辣椒素类物质的化学研究进展[J]. 天然产物研究与开发, 2004(05), 486-489.
- [4] 包婉莹, 杨宇东, 吴迪. 辣椒为什么辣?[J]. 大学化学, 2018, 33(07), 87-89.
本文版权属于 Chem-Station化学空间, 欢迎点击按钮分享,未经许可,谢绝转载!






No comments yet.