引言
传统农耕到现代农业,百年时间里农业技术的突飞猛进离不开农药的发展和应用,因此农药被认为是二十世纪农业生产力上升的重要因素。根据美国环保署的定义,凡是能够预防、摧毁、驱逐或减轻害虫的物质都可以被称为农药,依据其使用对象又可细分为除草剂、杀虫剂、杀菌剂、杀螨剂等,在这些种类繁多的农药中,化学合成农药始终占据重要地位。然而,以杀虫剂为代表的农药在促进农业产量大升的同时也严重危害和改变着生态系统,富集在食物链中的化学成分对人类健康有着重大威胁。
农民正在田间喷洒农药
高效杀虫剂——茚虫威
杜邦(DuPont)是世界领先的化工公司,曾经以开发和生产聚合物材料为名,许多日常使用的尼龙、涤纶、有机玻璃等最初均源于杜邦。1992年,杜邦公司成功开发出第一个商品化的噁二嗪类杀虫剂茚虫威(Indoxacarb),这也是第一个商品化的钠通道阻断型杀虫剂。最初上市的产品是消旋体,随后新产品均采用手性纯的(S)-茚虫威,它的商品名也特别有意思——“全垒打(Ammate®)”,与棒球运动术语“全垒打(Home Run)”中文翻译一致。
杜邦公司开发的杀虫剂茚虫威
茚虫威这种含有新颖杂环结构的杀虫剂其实最初源于另一种基于吡唑啉(pyrazoline)结构的钠通道阻断型杀虫剂。所谓钠通道阻断剂,指的是可以导致神经细胞钠离子通道关闭的物质,关闭后的钠离子通道阻断了钠离子内流进而抑制了神经冲动的传导。当这类杀虫剂作用于昆虫神经细胞后阻断了神经冲动传导,使得昆虫不能进食,最终导致麻痹和死亡,更深入的研究表明实际发挥钠通道阻断作用的并非茚虫威本身,而是其代谢产物DCJW。
噁二嗪杀虫剂的发展历程
自从1972年吡唑啉类杀虫剂被Philips-Duphar公司发现以来,接下来的数十年时间里人们围绕吡唑啉母核结构又相继得到了哒嗪(pyridazine)以及多环的哒嗪衍生物,这些杂环化合物均具有良好的杀虫活性。后来有人设想,在哒嗪环上再引入一个杂原子有望使化合物在土壤中更快降解、合成上更容易制备以及具有更高的杀虫活性。幸运的是,引入氧原子后得到的噁二嗪类化合物完美符合人们预期,很快成为大家关注的焦点。作为第一个商品化的噁二嗪杀虫剂,茚虫威杀虫谱广、见效快,几乎对所有鳞翅目害虫都有效。此外,茚虫威与有机磷杀虫剂相比,在作物收获前用药的限制时间短,更适用于有害生物综合管理体系。
茚虫威的合成
茚虫威具有结构新颖、作用机理独特、用量低、环境友好及人畜安全等突出特点,是杀虫剂研究领域备受关注的化合物之一。前文已经提到,茚虫威最初上市的产品是外消旋体,事实上只有(S)-异构体具有杀虫活性。出于提高有效活性和保护环境的考虑,与手性药物一样,目前开发单一光学活性的异构体作为农药已经成为一种趋势,因而后来上市的茚虫威均采取单一构型,所以此处仅简要介绍文献中光学纯茚虫威的合成方法。
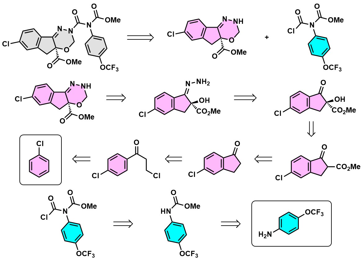
茚虫威化学结构复杂,仅含有一个手性中心,要实现其不对称合成必须首先获得切实可行的且适用于工业生产的合成路线。化学家们对其进行逆合成分析,首先将噁二嗪环氮原子上的支链进行切断,三环噁二嗪结构进一步逆合成分析后可以通过化工基本原料氯苯经Friedel-Crafts反应、取代反应、氧化反应、环化等一系列步骤合成;支链部分则相对简单。
茚虫威的逆合成分析
通过逆合成分析不难发现,合成茚虫威的关键是构建羟基甲氧羰基茚酮中间体,该中间体的不对称羟化也是实现茚虫威不对称合成的关键。最初利用Sharpless不对称双羟化试剂(AD-mix β)可以获得50% ee的异构体,但产率较低,此外锇化合物价格昂贵且毒性高不适合大规模生产;后来人们又尝试了多种手性试剂去提高该步反应的产率和对映选择性,但均未取得良好效果。最后利用天然的生物碱辛可宁(Cinchonine)作为催化剂,在叔丁基过氧化氢(TBHP)氧化的条件下可以得到理想的产率(85%)和对映选择性(50% ee),并已实现工业化。
茚虫威的不对称合成
结束语
茚虫威是近年来崛起的结构新颖、作用机理独特的噁二嗪类杀虫剂,由于其活性高、对环境和作物十分安全的特点,有望成为替代高毒、高残留及高抗性杀虫剂的理想药剂。今后相当长的时间内,开发化学农药仍是耗能最低、防治最迅速、效果最佳的作物保护措施,也是实现高效和集约化农业发展的必由之路。此外,手性纯农药的成功开发和使用,也一定会带来广阔的市场前景和不可估量的生态环境效益,尽管如此,农药对土壤、地表水造成的污染甚至对食品安全的不利影响也需要我们时刻警惕。
参考资料
- [1] 丁宁, 孟庆伟, 赵伟杰, 苗蔚荣. 噁二嗪类杀虫剂茚虫威的研究进展[J]. 农药学学报, 2005 (02): 97-103.
- [2] 段湘生, 曾文平, 陈明, 张文杰. 高效杀虫剂茚虫威的合成及应用[J]. 农药研究与应用, 2006 (02): 17-20.
- [3] McCann, Stephen F., et al. “Synthesis and biological activity of oxadiazine and triazine insecticides: the discovery of indoxacarb.” 2002. 166-177. DOI: 10.1021/bk-2002-0800.ch016
- [4] 杨丙连, 孙克, 张敏恒. 茚虫威合成方法述评[J]. 农药, 2012, 51(10): 774-776+779.
本文版权属于 Chem-Station化学空间, 欢迎点击按钮分享,未经许可,谢绝转载!


No comments yet.