概要
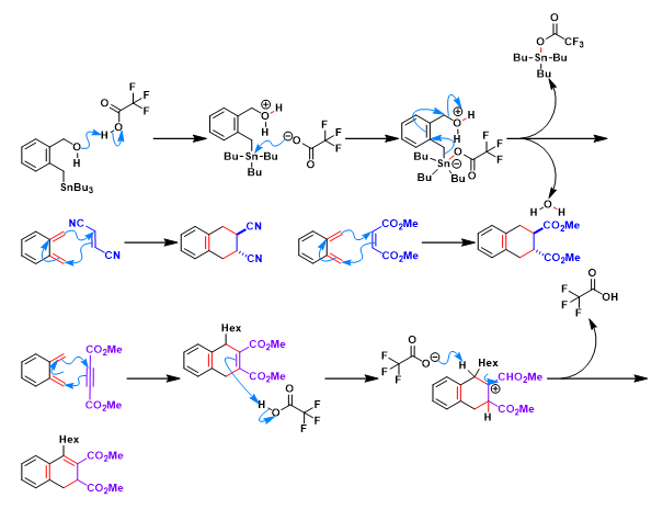
Migita-Sano合成 (Migita-Sano synthesis) 是在一锅反应条件下,通过Brønsted酸 (TFA)促进的邻(羟甲基)苄基三丁基锡烷的1,4-消除过程,原位形成醌二甲烷 (quinodimethane)之后,再与缺电子烯基或炔基化合物作用,进而合成一系列环状化合物的反应。该反应由日本Gunma大学工学部化学系 (群馬大学工学部応用化学科,Department of Chemistry, Faculty of Technology, Gunma University)的Migita (右田 俊彦, Migita Toshihiko)与Sano (佐野 寛, Sano Hiroshi)在1988年首次报道[1]。
Migita-Sano合成具有温和的反应条件、优良的产率与pot-ecomomy。然而,由于有机锡化合物较高的毒性与挥发性,使该反应在有机合成中的进一步应用受到较大限制。
基本文献
[1] H. Sano, H. Ohtsuka, T. Migita, J. Am. Chem. Soc. 1988, 110, 6, 2014. doi: 10.1021/ja00214a083.反应机理
反应实例
取代四氢化萘的合成[1]
八氢蒽的合成[1]
实验步骤
参考文献
[1] H. Sano, H. Ohtsuka, T. Migita, J. Am. Chem. Soc. 1988, 110, 6, 2014. doi: 10.1021/ja00214a083.


No comments yet.