本文接上期 可以无限玩花的Aldol缩合 第二部分
- Evans开发的手性助剂的使用参见:
碳碳键构筑的王道反应:羟醛缩合反应(Aldol reaction)第三弹
Crimmins发现了可以得到Evans-syn-aldol产物和非Evans-syn-aldol产物的反应条件,反应中需要用到钛作为配合试剂,这个方法的发明大大增加了钛烯醇在aldol反应中的使用范围。Ref. 3
(1)使用1 equiv.钛试剂
(2)使用2 equiv.钛试剂
这里是一个α-烷氧基羰基化合物的例子:ref. 4
还有一些用于不对称酰胺和酯aldol的手性助剂
1).ref. 5
2).ref. 6
其他一些例子:
1) ref. 7, 8
2) ref 9
3) ref 10
4) ref 11, 12
5) ref 13
6) ref 14
7) ref 15
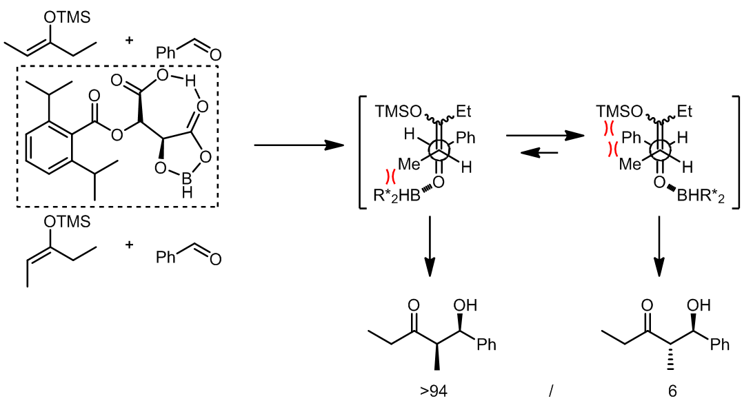
- 烯醇硅醚的aldol反应(Mukaiyama aldol缩合)
关于Mukaiyama aldol缩合反应的基本内容,在这里有一些相关的介绍:
//www.gsbet888.com/%E5%8C%96%E5%AD%A6%E6%9D%82%E8%AE%B0/2015/10/post-6781.html,这里补充的是几类手性催化剂的开发和使用。
















