投稿作者 孙苏赟
一.其他金属参与的烯醇化
a.钛烯醇
因为钛具有很高的价态,钛烯醇中不同的配位作用会使得钛烯醇对于亲核加成会更加敏感,从而产生不同的立体选择性:
1.[1]
反应中只用了1equiv.的钛试剂,在这种情况下钛的配位达到饱和,不能再进行其他位点的配合作用了,因此倾向于得到syn-anti-aldol产物。
如若使用2equiv.的钛试剂:[2]
使用2equiv.钛试剂之后,反应过渡态中氧会和钛配位,最终得到syn-syn-aldol产物。
这种控制手性的方法是由Evans开发的,大多数时候,钛烯醇在反应中表现出的选择性要比硼烯醇好一些。
b. 锡烯醇
和钛很相似,锡因为可以进行强烈的配位作用,当锡烯醇参与aldol反应时,选择性也很好,例如:
1)
Sn(II)的电子是d10构形的,因此在这个反应中处于饱和的配位状态,如果OTf–转移到溶液中去,那么锡就会和羰基的氧进行配位作用了,因此产物的立体化学又是不同的了:
2)文献[3]
c. 镁烯醇[4]
加上镁烯醇参与的反应,那么可以实现对四种非对应异构体的控制,也就是说,当控制了烯醇化的选择性和亲核加成的面选择性之后,产物的结构是完全可以进行控制的了。
1). 烯醇化的Z/E选择性:
2). (1) 1,2-syn-3,4-syn
(2)syn-anti
(3)anti-syn
(4)anti-anti
二、双重非对映选择性的应用
如果烯醇和醛中都具有手性中心,那么产物就会有很多种可能。但是事实上,即使是一个反应中主要是syn-aldol产物,但是其他的动力学产物的其他非对应异构体的产物也是可以检测得到的。其中可能会有某一种烯醇和醛的组合可以互相增强反应的选择性,这叫做“匹配”的反应,而其他的组合可能会得到相反结果的产物。对于“匹配”的反应,可以实际应用在有机合成当中的。例如:
匹配的例子:[5]
这个反应中1,2-syn-aldol的比例非常高。
反应可能的过渡态:
在这个例子中,当S-S底物组合时,反应的立体选择性会增强,而选取任何R-S作为底物时,反应的立体选择性会大大降低。
三、手性α-取代醛
对于非极性取代基,用Roush的理论可以进行解释,这个理论当R体积远大于甲基并且不是极性基团是使用的。旋转异构体一般会减小基团的重叠效应而成为最佳优势构象。
Z-烯醇和醛的旋转异构体的过渡态分析:
E-烯醇和醛的旋转异构体的过渡态分析:
而对于非极性取代基,情况就有所不同了:
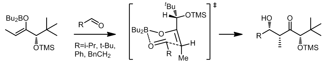
其他一些例子:
- [6]
2. [7]
参考文献
- J. Am. Chem. Soc.,1991,113(3), pp 1047–1049,DOI:10.1021/ja00003a051
- J. Am. Chem. Soc.,1997,119(33), pp 7883–7884,DOI:10.1021/ja9716721
- Org. Lett.,2000,2(21), pp 3365–3367,DOI:10.1021/ol0064664
- J. Org. Chem.,1991,56(7), pp 2499–2506,DOI:10.1021/jo00007a043
- Angew. Chem. Int. Engl. Ed.,1985 24,DOI:110.1002/anie.198500013
- J. Am. Chem. Soc.,2003,125(20), pp 6018–6019,DOI:10.1021/ja034865z
- J. Am. Chem. Soc.,2002,124(20), pp 5661–5663,DOI:10.1021/ja0262683
本文版权属于Chem-Station化学空间,欢迎点击按钮分享,未经许可,谢绝转载!



No comments yet.