本文作者 孙苏赟
接上篇
- Honor-Emmons-Wadsworth反应的Still改进
之后Still对反应进行了改进,将烷氧基换成了含氟的基团,使得反应产物的构形可以进行完全的调控:(rf. 1)
其中,Still膦酸酯可以用酯交换进行制备:(rf. 1)
这个过程中使用了18-C-6来捕获金属离子,使得阳离子更加裸露出来,以确保反应的平衡倾向于Z-产物。
一个例子:(ref. 2)
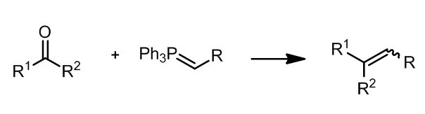
- Wittig反应
a. 磷ylide
Wittig反应中使用的是磷ylide,磷ylide具有两种共振式,计算化学认为极化式是磷ylide的主要形式:
此外这种极限式可以更加有力的说明ylide和羰基化合物进行亲核加成时的一些过程。
b. 磷ylide的制备
磷ylide可以通过以下的反应制备:
这个反应就是一个简单的PPh3进行的烷基的SN2,其中生成的膦盐具有较弱的酸性,因此可以使用一些强碱来得到磷ylide,通常来说ylide都是原位生成的。
c. 反应机理:
大多数人认为反应的机理是通过离子的机理进行的,但是却没有有力的证据来支持这一理论。而另外一种说法就是通过[2+2]-协同过程发生反应,再通过一个逆[2+2]得到产物烯烃和三苯氧磷。此外,反应的中间体至今没有被分离得到。
d. 产物烯烃的立体化学
一般来说,当反应底物中具有大集团时,生成的产物的选择性更加好,例如若生成三取代的烯烃时,E产物一般占主导。一般来说,稳定的ylide(R=EWG)倾向于生成E–烯烃异构体,而不稳定的ylide(R=EDG)倾向于得到Z–烯烃异构体。此外,溶剂,抗衡离子,温度,添加剂也会影响反应的结果而产生不同主导产物。(Ref. 3,4)
e. 几个反应的实例:
(1) ref. 5
(2) 芳香醛的反应 (ref. 6):
(3) ref. 7
(4) ref. 8
(5) ref. 9, 10
iii. Wittig反应的Schlosser改进
例如;ref. 11, 12
REFERENCES
- Tetrahedron Lett.,1983, 24, 4405,DOI:1016/S0040-4039(00)85909-2
- J. Org. Chem.,2002,67(15), pp 5437–5439,DOI:10.1021/jo025816s
- J. Am. Chem. Soc.,1990,112(10), pp 3905–3909,DOI:10.1021/ja00166a026
- J. Am. Chem. Soc.,2006,128(7), pp 2394–2409,DOI:10.1021/ja056650q
- Chem. Ber.,1979, 112, 1923,DOI:10.1002/cber.19791120545
- Chem. Ber.,1955,88, 1654,DOI:10.1002/cber.19550881110
- Syn. Commun., 1985, 15, 855,DOI:10.1080/00397918508063883
- J. Org. Chem.,1983,48(23), pp 4402–4404,DOI:10.1021/jo00171a054
- Org. Lett.,2003,5(17), pp 3009–3011,DOI:10.1021/ol034923l
- Tetrahedron Lett.,1989, 30, 2173, DOI:1016/S0040-4039(00)99640-0
- J. Am. Chem. Soc.,1971,93(19), pp 4835–4840,DOI:10.1021/ja00748a028
- J. Am. Chem. Soc.,1970,92(1), pp 226–228,DOI:10.1021/ja00704a052
本文版权属于Chem-Station化学空间,欢迎点击按钮分享,未经许可,谢绝转载!



No comments yet.