(小编是本科生,第一次投稿,有理解不到位的地方,请大家多多指点!)
概要
雷爱文教授课题组最近发展了一种高效的Pd/Cu共催化氧化二苯胺的两个C(sp2)-H键形成羰基进而合成吖啶酮的方法。该方法利用易得的原料,条件温和,通过高效和原子经济的方式得到吖啶酮。更值一提的是,此反应具有优异的官能团兼容性和应用价值。
Palladium/Copper Co-catalyzed Oxidative C–H/C–H Carbonylation of Diphenylamines: A Way To Access Acridones. Jiangwei Wen, Shan Tang, Fan Zhang, Renyi Shi, and Aiwen Lei* Org. Lett., 2017, 19, 94–97. DOI: 10.1021/acs.orglett.6b03356
吖啶酮的重要用途及合成意义
作为最重要的杂环化合物之一,吖啶酮在染料、药物和生物材料等领域用途极广。此外,吖啶酮还是合成含氮化合物的理想模块。
这些含氮化合物包括抗病毒剂10-CMA (Figure 1, A)1、抗肿瘤药物Glyfoline和Acronycine (Figure 1, B & C)2,此外吖啶酮还是合成生物活性抗癌药物(Figure 1, D)3的重要前体。
传统的吖啶酮合成方法
ShūKobayashi课题组在2006年报道了合成吖啶酮的一种方法,该方法是通过把团簇的Pd固定在聚苯乙烯上作为催化剂,这种多相催化剂活性高、易回收,但是合成步骤过于繁琐4。
Anna M.Boguszewska-Chachulska课题组在2010年也报道过一种合成吖啶酮的方法,该方法通过胺基与卤素的亲核取代,然后在POCl3和CH3CN作用下关环得到吖啶酮衍生物5。
虽然仅仅列举了两种传统方法,我们不难发现,这些方法具有诸如原子利用率不高、操作繁琐、起始原料不易获得,抑或是反应条件剧烈的缺点。因而研究一种简单高效的吖啶酮合成方法仍然具有巨大的挑战性和吸引力。
雷爱文教授新颖而且高效的合成方法
雷老师课题组利用1atm CO作为羰基化试剂,对反应的催化剂、氧化剂、溶剂、温度等反应条件进行了筛选和优化,常见的溶剂如甲苯、DMF、1,4-二氧六环、乙酸、DMA和DMSO中,DMSO效果最佳。
O2作氧化剂,催化剂PdCl2能得到82%的可观收率,替换成其他的Pd催化剂效果均不够理想(Entries 10-14),随后课题组人员又对共催化剂Cu进行了筛选优化后发现Cu(OPiv)2在活性上较CuCl,CuBr,CuI,CuCN,CuO,Cu(OAc)2更为突出。
此外,其他类型的氧化剂诸如TBHP,K2S2O8,PhI(OAc)2,DCP和DTBP都单独进行过实验(Table1 entries 15-20),最终得到最优的反应条件是PdCl2(10 mol %)、Cu(OPiv)2(20 mol %)和DTBP(3.0 equiv)催化,DMSO为溶剂,1atm的CO作为羰基化试剂,100℃下反应24小时。
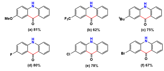
建立了最优的反应条件,随后课题组对反应底物范围进行了探究,结果令人满意,无论是给电子取代基(a)、吸电子取代基(b)均能得到不错的结果,即使是大位阻取代基(c)也能得到75%的收率。卤素系列(d、e、f),尤其是氟取代的底物能达到80%的高产率。
反应机理
反应机理暂时还不是非常清楚,在现有的实验结果和前人研究的基础上,提出了上图的反应机理。大致过程可描述为:PdII络合物与二苯胺(1a)反应得到中间体I,中间体I再接着与CO反应形成含羰基的中间体II,随后经历一个分子内反应和还原消除过程得到吖啶酮(2a)和Pd0,PdII可以通过CuII氧化Pd0再生,而CuII又可以通过DTBP氧化CuI再生,从而形成一个循环。
研究总结
雷爱文教授课题组最近的研究成果提供了一个简便、高效、原则经济型高的合成吖啶酮的方法,核心是氧化C-H/C-H键进行羰基化。吖啶酮又是一类极具应用前景,在合成上也具有重要意义的化合物。
参考文献
- Storch, E.; Kirchner, H. Eur. J. Immunol. 1982, 12, 793.
- Woo Chun, M.; Olmstead, K. K.; Choi, Y. S.; Lee, C. O.; Lee, C. K.; Kim, J.H.; Lee, J. Bioorg. Med. Chem. Lett. 1997, 7, 789.
- (a) Belmont, P.; Bosson, J.; Godet, T.; Tiano, M. Anti-Cancer Agents Med. Chem. 2007, 7, 139. (b) Singh, P.; Kaur, P.; Kaur, S. Bioorg. Med. Chem. 2009, 17, 2423.
- Nishio, R.; Wessely, S.; Sugiura, M.; Kobayashi, S. J. Comb. Chem. 2006, 8, 459.
- Stankiewicz-Drogon, A.; Dörner, B.; Erker, T.;Boguszewska-Chachulska, A. M. J. Med. Chem. 2010, 53, 3117.
本文版权属于 Chem-Station化学空间, 欢迎点击按钮分享,未经许可,谢绝转载!






































No comments yet.