本文作者:孙苏赟
继续上次的脱水反应。
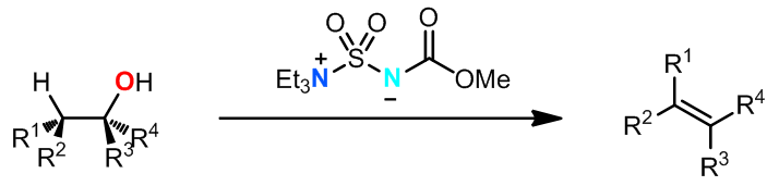
Burgess试剂是一种非常高效的商业化的试剂,可以和2o和3o醇发生反应进行脱水,且反应条件温和高效,但试剂储存需要在严格除水的条件下。大多数情况下,反应中的消除过程是syn-消除,但是也有不多的过anti-消除的例子的报道。对于3o醇来说,如果使用酸性条件下的阳离子机理的脱水反应,很可能导致发生碳正离子重排,但是用Burgess试剂就可以避免这个问题。
这里是几个应用:
- Burgess试剂作用下的脱水不会导致两环中任一环发生缩环,且反应是倾向于生成多取代的双键化和物[2]

- 一个由于构型而导致发生anti-消除的例子 [3]

- [4]

- 在Taxol的首次全合成中,Halton课题组在C环修饰的过程中使用到了Burgess试剂,反应得到的双键便于接下来构造Taxol中的D环结构。[5]

利用醇对应的黄原酸酯的高温裂解过程得到双键的过程即为Chugaev消除反应,也成黄原酸酯裂解反应。底物醇的选择范围也较广,通常来讲1o醇的黄原酸酯对热较稳定,需要大于200oC的高温才可发生裂解,而2o和3o醇的黄原酸酯远次之。
从反应上来看,黄原酸酯的裂解和醋酸酯的裂解是类似的,但前者反应所需的温度较低,且反应过程的双键异构化几率较小,因此这个反应对于不太稳定的醇化合物通过非碳正离子过程转化成双键是非常有用的。但是对于双键位置的区域选择性,Chugaev反应显示出结果的选择性却不是太好。
几个例子:
除此之外,Groot课题组尝试了许多种方法均未能将底物转化为环外双键,而黄原酸酯裂解的方法可以一步错的收率得到目标产物。
Martin试剂也称Martin Sulfurate,是一种已经商品化的试剂,它可以高效温和的将醇转化成对应的烯烃,即使在室温下也可快速发生反应。
Martin试剂也可与二醇反应得到环醚化合物。同时,此类试剂还有一种替代:
这里是几个实例:
Lebedev反应是在钽试剂的作用下将乙醇发生脱水偶联得二烯的过程。早在二战时期,前苏联和纳粹德国军利用Lebedev反应来制造丁二烯作为生产工业橡胶的原料。反应机理大致如下:
由于高温的反应条件,事实上这个过程在有机合成中的利用价值不是太大。
REFERENCES
- J. Am. Chem. Soc.1968, 90, 17, 4744-4745, doi: 10.1021/ja01019a052
- Tetrahedron Lett., 1987, 43, 5287, doi: 1016/S0040-4020(01)87705-X
- J. Org. Chem., 2002, 67, 15, 5269-5278, doi: 10.1021/jo025873l
- J. Org. Chem., 1995, 60, 24, 7837-7848, doi: 10.1021/jo00129a025
- J. Am. Chem. Soc., 1994, 11, 64, 1597-1598, doi: 10.1021/ja00083a066
- J. Org. Chem., 1999, 64, 25, 9178-9188, doi: 10.1021/jo991151r
- Org. Lett., 2008, 10, 7, 1437-1440, doi: 10.1021/ol800259s
- J. Org. Chem., 1988, 5, 33, 477-481, doi: 10.1021/jo00238a003
- J. Am. Chem. Soc., 2006, 12, 85, 1448-1449, doi: 10.1021/ja057640s
- J. Org. Chem., 2001, 66, 21, 7184-7190, doi: 10.1021/jo010202t
本文版权属于 Chem-Station化学空间, 欢迎点击按钮分享,未经许可,谢绝转载!















































No comments yet.