本文作者:孙苏赟
第二部分 直接法酯化反应
在上一节中我们介绍了几种间接酯化的方法,包括酰氯中间体法,酸酐中间体法,这次我们介绍几种一步酯化的方法。
1. Fisher-Speier酯化
Fisher-Speier酯化是最直接最“暴力”的酯化方法,它只适用于没有其他官能团和复杂结构的简单分子的酯化反应,通常反应装置中会在反应容器和回流罐间添加Dean Stark装置,即分水器:
2. Steglich酯化反应
碳二亚胺类试剂在反应过程中也是起到活化反应底物的作用,同时发生脱水的过程。使用碳二亚胺 是最常用的酯化(和酰胺化)的手段之一。反应中DMAP不是必须的,但催化量的DMAP可以加速反应的进程,甚至可以使得反应可以在常温下发生。DCC的一个缺点是在反应中会生成难容的尿素衍生物DCU,有时会使得产物较难分离,此外DCC的毒性较大,因此后续的也开发出了几种可以替代试剂:
反应机理:
当反应体系中加入催化量的DMAP时:
这里是几个应用:
a. 长链的酰基化:[1]
b. 反应中官能团兼容性很好:[2]
c. 大位阻的仲醇的反应
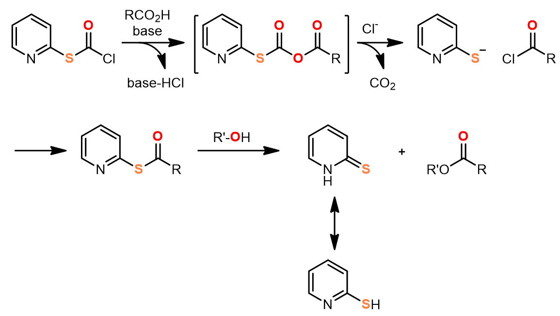
3. 2-吡啶硫酯试剂(大环内酯化)
羧酸离子可以和2-氯吡啶阳离子活化的酯加合物试剂发生取代从而实现酯化过程:
而硫酯是一类非常活泼的酰基化试剂,它们非常适用于大环内酯化反应。大位阻的内酯化时2-吡啶硫酯和Cu(II)配合使用效果会更好。
并且2-吡啶二硫醚和2-咪唑二硫醚也可以用于作为活化试剂,并且对大环反应特别有效,且收率很高。这些试剂在作用是最关键的就是会形成分子内氢键:
反应机理:
一个例子:[3]
REFERENCES
- [1] J. Am. Chem. Soc. 1994, 116, 26, 12111-12112, DOI:10.1021/ja00105a085
- [2] Proc. Natl. Acad. Sci. U.S.A. 2004, 101, 11955. DOI: 10.1073/pnas.0401247101
- [3] J. Am. Chem. Soc. 1974, 96, 17, 5614-5616. DOI:10.1021/ja00824a073
本文版权属于 Chem-Station化学空间, 欢迎点击按钮分享,未经许可,谢绝转载!






No comments yet.